250x250
Notice
Recent Posts
Recent Comments
Link
반응형
| 일 | 월 | 화 | 수 | 목 | 금 | 토 |
|---|---|---|---|---|---|---|
| 1 | ||||||
| 2 | 3 | 4 | 5 | 6 | 7 | 8 |
| 9 | 10 | 11 | 12 | 13 | 14 | 15 |
| 16 | 17 | 18 | 19 | 20 | 21 | 22 |
| 23 | 24 | 25 | 26 | 27 | 28 | 29 |
| 30 |
Tags
- Java
- JPA
- deque
- alter
- BFS
- Calendar
- html
- 힙덤프
- scanner
- dfs
- 큐
- math
- List
- 리소스모니터링
- GC로그수집
- Union-find
- date
- set
- map
- spring boot
- 스택
- CSS
- sql
- priority_queue
- string
- union_find
- 스프링부트
- javascript
- Properties
- NIO
Archives
- Today
- Total
매일 조금씩
Leet code (Easy): 100. Same Tree - Java 본문
728x90
반응형



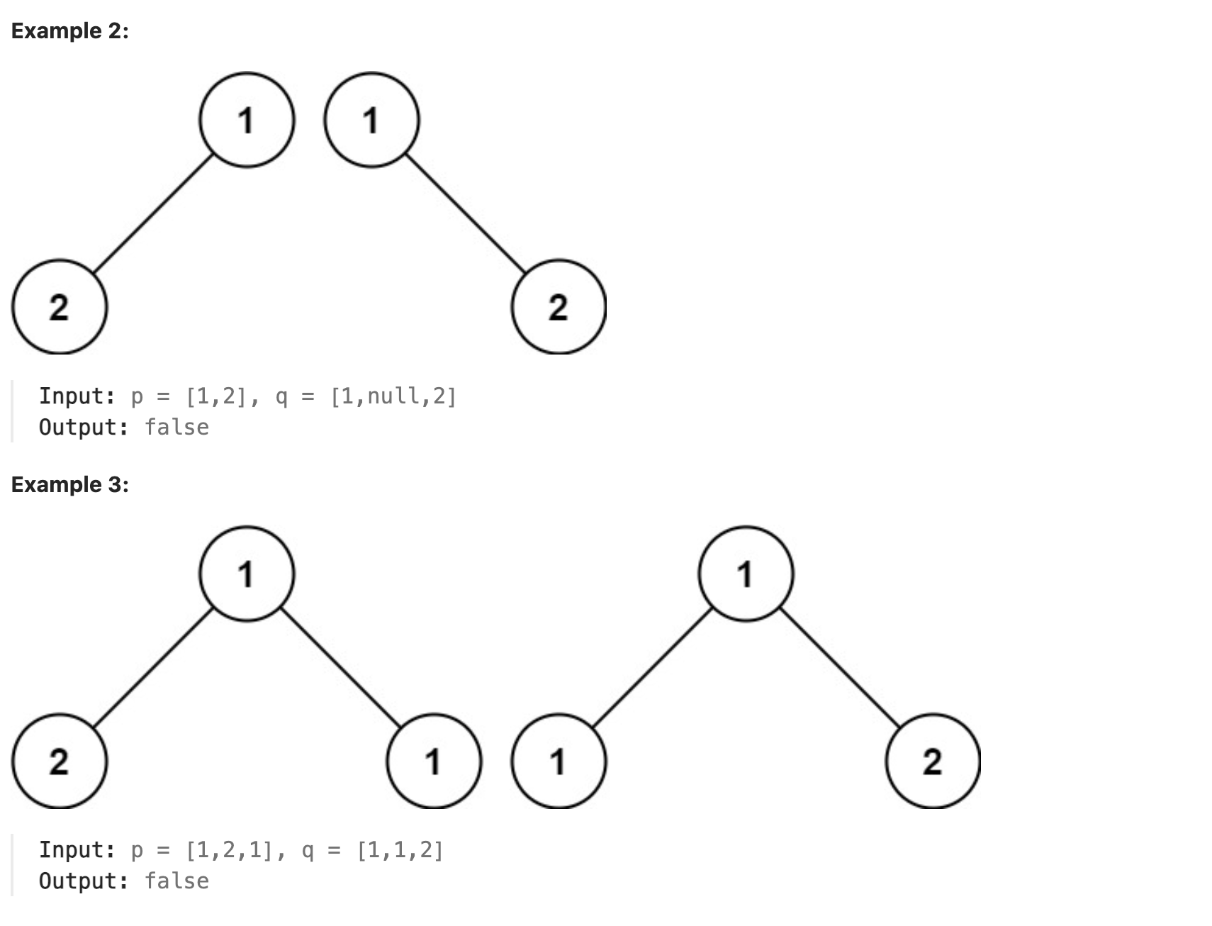
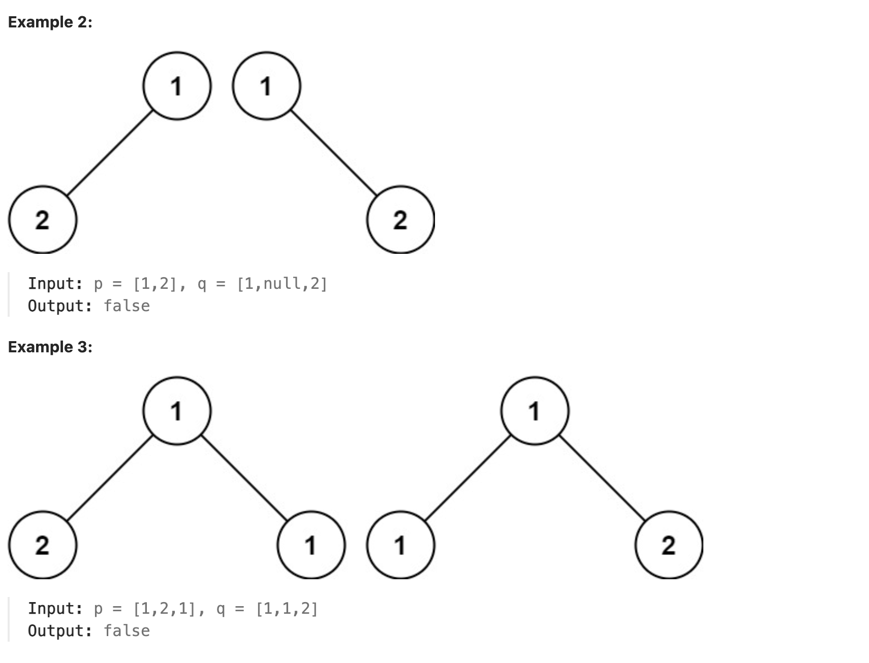
같은 트리인지를 판별하는 아주 기본적인 문제이다.
/**
* Definition for a binary tree node.
* public class TreeNode {
* int val;
* TreeNode left;
* TreeNode right;
* TreeNode() {}
* TreeNode(int val) { this.val = val; }
* TreeNode(int val, TreeNode left, TreeNode right) {
* this.val = val;
* this.left = left;
* this.right = right;
* }
* }
*/
class Solution {
public boolean isSameTree(TreeNode p, TreeNode q) {
if(p == null && q == null){
return true;
}
if(p == null || q == null || p.val != q.val){
return false;
}
return isSameTree(p.left, q.left) && isSameTree(p.right, q.right);
}
}728x90
반응형
'알고리즘 > Tree' 카테고리의 다른 글
| Leet code (Easy): 572. Subtree of Another Tree - Java (0) | 2024.10.30 |
|---|---|
| Leet code (Hard): 297. Serialize and Deserialize Binary Tree - Java (0) | 2024.10.30 |
| Leet code (Medium): 102. Binary Tree Level Order Traversal - Java (0) | 2024.10.29 |
| Leet code (Hard): 124. Binary Tree Maximum Path Sum - Java (1) | 2024.10.29 |
| Leet code (Easy): 226. Invert Binary Tree - Java (1) | 2024.10.28 |